电脑桌面
添加盘古文库-分享文档发现价值到电脑桌面
安装后可以在桌面快捷访问

2012年高考数学试卷(文)(天津)(解析卷)

2012年高考数学试卷(文)(天津)(解析卷)_第1页
1/16
2012年高考数学试卷(文)(天津)(解析卷)_第2页
2/16
2012年高考数学试卷(文)(天津)(解析卷)_第3页
3/16
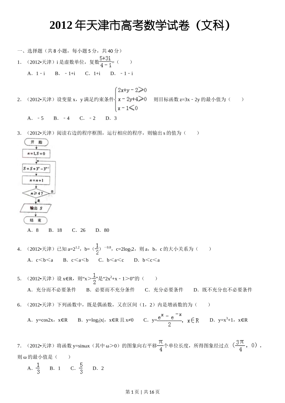
2012 年天津市高考数学试卷(文科)一、选择题(共 8 小题,每小题 5 分,共 40 分)1.(2012•天津)i 是虚数单位,复数= () A.1i﹣ B.﹣1+i C.1+i D.﹣1i﹣2.(2012•天津)设变量 x,y 满足约束条件则目标函数 z=3x2y﹣ 的最小值为() A.﹣5 B.﹣4 C.﹣2 D.33.(2012•天津)阅读右边的程序框图,运行相应的程序,则输出 s 的值为() A.8 B.18 C.26 D.804.(2012•天津)已知 a=21.2,b=( )﹣0.8,c=2log52,则 a,b,c 的大小关系为() A.c<b<a B.c<a<b C.b<a<c D.b<c<a5.(2012•天津)设 x R∈“,则 x> ”“是 2x2+x1﹣ >0” 的() A .充分而不必要条件B .必要而不充分条件C .充分必要条件D.既不充分也不必要条件6.(2012•天津)下列函数中,既是偶函数,又在区间(1,2 )内是增函数的为() A.y=cos2x,x R∈ B.y=log2|x|,x R∈且 x≠0 C.y= D.y=x3+1,x R∈7.(2012•天津)将函数 y=sinωx(其中 ω>0)的图象向右平移个单位长度,所得图象经过点,则 ω 的最小值是() A. B.1 C. D.2第 1 页 | 共 16 页 8.(2012•天津)在△ABC 中,∠A=90°,AB=1,AC=2.设点 P,Q 满足,,λ R∈ .若=2,则 λ= () A. B. C. D.2二、填空题(共 6 小题,每小题 5 分,共 30 分)9.(2012•天津)集合 A={x R||x2|≤5}∈﹣中的最小整数为 _________ .10.(2012•天津)一个几何体的三视图如图所示(单位:m),则该几何体的体积为 _________ m3.11.(2012•天津)已知双曲线 C1:与双曲线 C:(a>0,b>0)有相同的渐近线,且 C1的右焦点为 F(,0).则 a= _________ ,b= _________ .12.(2012•天津)设 m,n R∈ ,若直线 l:mx+ny1=0﹣与 x 轴相交于点 A,与 y 轴相交于点 B,且 l 与圆 x2+y2=4相交所得弦的长为 2,O 为坐标原点,则△AOB 面积的最小值为 _________ .13.(2012•天津)如图,已知 AB 和 AC 是圆的两条弦,过点 B 作圆的切线与 AC 的延长线相交于点 D,过点 C 作BD 的平行线与圆相交于点 E,与 AB 相交于点 F,AF=3,FB=1,EF= ,则线段 CD 的长为 _________ .14.(2012•天津)已知函数 y=的图象与函数 y=kx 的图象恰有两个交点,则实数 k 的取值范围是 _________ .三、解答题(本大题共 6 小题,共 80 分)15.(2012•天津)某地区有小学 21 所,中学 14 所,大学 7 所,现采用分层抽样的方法从这些学校中抽取 6 所学校对学生进行视力调查.第 2 页 | 共 16 页 (1)求应从小学、中学、大学中分别抽取的学校数目;(2)若从抽取的 6 所学校中随机抽取 2 所学校做进一步数据分析.(ⅰ)列出所有可能的抽取结果;(ⅱ)求抽取的 2 所学校均为小学的概率.16.(2012•天津)在△ABC 中,内角 A,B,C 所对的边分别是 a,b,c,已知 a=2,c=,cosA=﹣.(1)求 sinC 和 b 的值;(2)求 cos(2A+)的值.17.(2012•天津)如图,在四棱锥 PABCD﹣中,底面 ABCD 是矩形,ADPD⊥,BC=1,PC=2,PD=CD=2.(1)求异面直线 PA 与 BC 所成角的正切值;(2)证明:平面 PDC⊥平面 ABCD;(3)求直线 PB 与平面 ABCD 所成角的正弦值.18.(2012•天津)已知{an}是等差数列,其前 n 项和为 Sn,{bn}是等比数列,且 a1=b1=2,a4+b4=27,S4b﹣ 4=10.(1)求数列{an}与{bn}的通项公式;(2)记 Tn=anb1+an1﹣ b2+…+a1bn,n N∈*,证明:Tn8=a﹣n1﹣ bn+1(n N∈*,n≥2).19.(2012•天津)已知椭圆,点 P()在椭圆上.(1)求椭圆的离心率;(2)设 A 为椭圆的左顶点,O 为坐标原点.若点 Q 在椭圆上且满足|AQ|=|AO|,求直线 OQ 的斜率的值.20.(2012•天津)已知函数 f(x)= x3+x2axa﹣﹣ ,x R∈ ,其中 a>0.(1)求函数 f(x)的单调区间;(2)若函数 f(x)在区间(﹣2,0)内恰有两个零点,求 a 的取值范围;(3)当 a=1 时,...

1、盘古文库是"C2C"交易模式,即卖家上传的文档直接由买家下载,本站只是中间服务平台,本站所有文档下载的收益归上传人(卖家)所有,作为网络服务商,若您的权利被侵害请及时联系右侧客服。

2、本站默认下载后的格式为 docx,pptx ,xlsx,pdf,zippsd等源文件。office等工具即可编辑!源码类文件除外。

3、如您看到网页展示的内容中含有'"133KU.COM"等水印,是因预览和防盗链技术需要对页面进行转换和压缩成图片所生成,文档下载后不会有该内容标识.

4、本站所有内容均由合作方上传,本站不对文档的完整性、权威性及其观点立场正确性做任何保证或承诺,文档内容仅供研究参考,付费前请自行鉴别。如您付费,意味着您自己接受本站规则且自行承担风险,本站不退款、不进行额外附加服务。

在点击下载本文档时,弹出的对话框中,选择“使用浏览器下载”不支持下载工具多线程下载!

部分浏览图可能存在变形的情况,下载后为高清文件,可直接编辑。

2012年高考数学试卷(文)(天津)(解析卷)

漫步者+ 关注
机构认证
内容提供者

该用户很懒,什么也没介绍

确认删除?
回到顶部