电脑桌面
添加盘古文库-分享文档发现价值到电脑桌面
安装后可以在桌面快捷访问

2011年高考数学试卷(文)(上海)(解析卷)

2011年高考数学试卷(文)(上海)(解析卷)_第1页
1/9
2011年高考数学试卷(文)(上海)(解析卷)_第2页
2/9
2011年高考数学试卷(文)(上海)(解析卷)_第3页
3/9
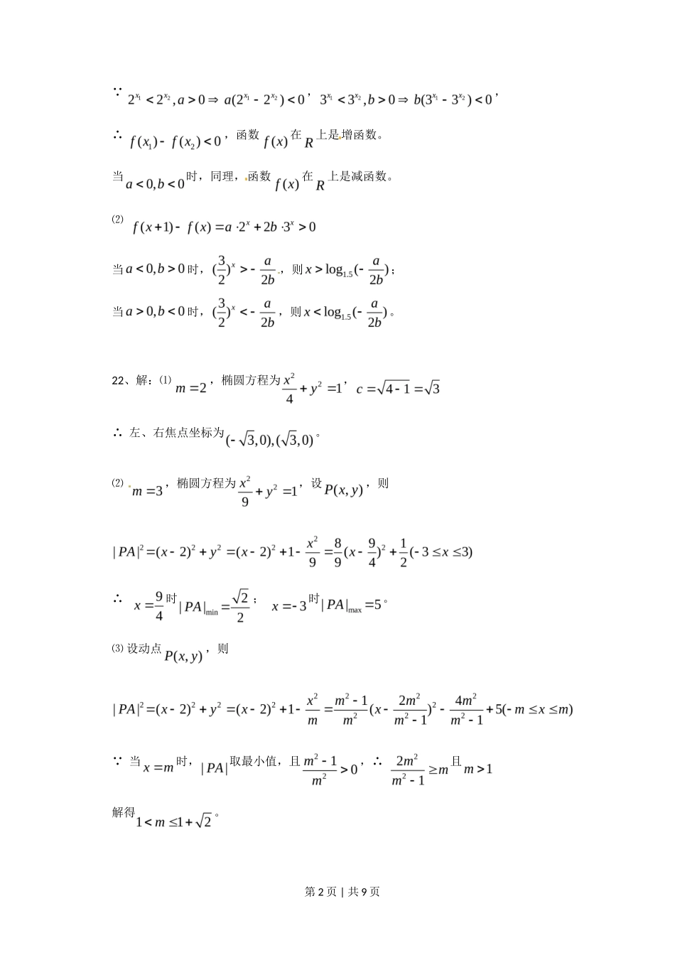
2011 年上海高考数学试题(文科)答案及解析一、填空题1、;2、;3、;4、;5、;6、或;7、;8、;9、;10、;11、;12、;13、;14、。二、选择题15、;16、;17、;18、。 三、解答题19、解: ………………(4 分)设,则………………,(12分)∵ ,∴ ………………(12 分)20、解:⑴ 连,∵ ,∴ 异面直线与所成角为,记, ∴ 异面直线与所成角为。⑵ 连,则所求四面体的体积。21、解:⑴ 当时,任意,则第 1 页 | 共 9 页 DCBAD1C1B1A1∵ ,,∴ ,函数在上是增函数。当时,同理,函数在上是减函数。⑵ 当时,,则;当时,,则。22、解:⑴ ,椭圆方程为,∴ 左、右焦点坐标为。⑵ ,椭圆方程为,设,则[来 ∴ 时; 时。⑶ 设动点,则∵ 当时,取最小值,且,∴ 且解得。 第 2 页 | 共 9 页 23、解:⑴ 三项分别为。 ⑵ 分别为⑶ ,,,∵ ∴ 。 。第 3 页 | 共 9 页 第 4 页 | 共 9 页 第 5 页 | 共 9 页 第 6 页 | 共 9 页 第 7 页 | 共 9 页 第 8 页 | 共 9 页 第 9 页 | 共 9 页

1、盘古文库是"C2C"交易模式,即卖家上传的文档直接由买家下载,本站只是中间服务平台,本站所有文档下载的收益归上传人(卖家)所有,作为网络服务商,若您的权利被侵害请及时联系右侧客服。

2、本站默认下载后的格式为 docx,pptx ,xlsx,pdf,zippsd等源文件。office等工具即可编辑!源码类文件除外。

3、如您看到网页展示的内容中含有'"133KU.COM"等水印,是因预览和防盗链技术需要对页面进行转换和压缩成图片所生成,文档下载后不会有该内容标识.

4、本站所有内容均由合作方上传,本站不对文档的完整性、权威性及其观点立场正确性做任何保证或承诺,文档内容仅供研究参考,付费前请自行鉴别。如您付费,意味着您自己接受本站规则且自行承担风险,本站不退款、不进行额外附加服务。

在点击下载本文档时,弹出的对话框中,选择“使用浏览器下载”不支持下载工具多线程下载!

部分浏览图可能存在变形的情况,下载后为高清文件,可直接编辑。

2011年高考数学试卷(文)(上海)(解析卷)

漫步者+ 关注
机构认证
内容提供者

该用户很懒,什么也没介绍

确认删除?
回到顶部