电脑桌面
添加盘古文库-分享文档发现价值到电脑桌面
安装后可以在桌面快捷访问

2009年高考数学试卷(文)(江西)(空白卷)

2009年高考数学试卷(文)(江西)(空白卷)_第1页
1/6
2009年高考数学试卷(文)(江西)(空白卷)_第2页
2/6
2009年高考数学试卷(文)(江西)(空白卷)_第3页
3/6
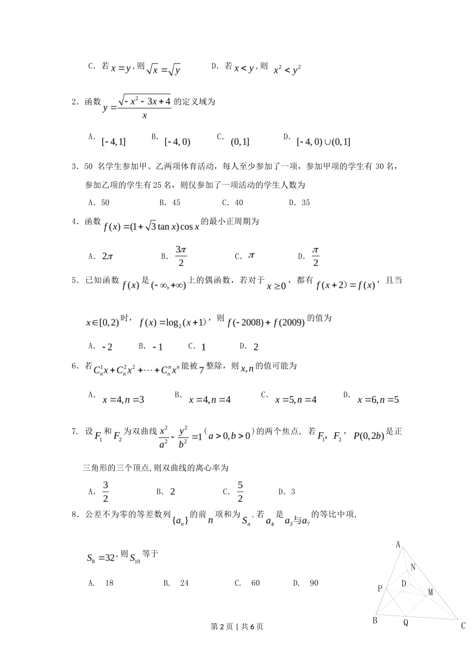
2009 年江西高考文科数学试题本试卷分第Ⅰ卷(选择题)和第Ⅱ卷(非选择题)两部分,第Ⅰ卷 1 至 2 页,第Ⅱ卷3 至 4 页,共 150 分。考生注意:1. 答题前,考生务必将自己的准考证号、姓名填写在答题卡上,考生要认真核对答“”题卡上粘贴的条形码的 准考证号、姓名、考试科目 与考生本人准考证号、姓名是否一致。2. 第 I 卷每小题选出答案后,用 2B 铅笔把答题卡上对应题目的答案标号涂黑,如需改动,用橡皮擦干净后,再选涂其他答案标号。第Ⅱ卷用黑色墨水签字笔在答题卡上书写作答。在试题卷上作答,答案无效。3. 考试结束,监考员将试题卷、答题卡一并收回。参考公式如果事件互斥,那么 球的表面积公式 如果事件,相互独立,那么 其中表示球的半径 球的体积公式如果事件在一次试验中发生的概率是,那么 次独立重复试验中恰好发生次的概率 其中表示球的半径第Ⅰ卷一.选择题:本大题共 12 小题,每小题 5 分,共 60 分。在每小题给出的四个选项中,只有一项是符合题目要求的.1.下列命题是真命题的为A.若,则 B.若,则第 1 页 | 共 6 页 C.若,则 D.若,则 2.函数的定义域为A. B. C. D.3.50 名学生参加甲、乙两项体育活动,每人至少参加了一项,参加甲项的学生有 30 名,参加乙项的学生有 25 名,则仅参加了一项活动的学生人数为A.50 B.45 C.40 D.354.函数的最小正周期为A. B. C. D.5.已知函数是上的偶函数,若对于,都有,且当时,,则的值为A. B. C. D.6.若能被整除,则的值可能为A. B. C. D.7. 设和为双曲线()的两个焦点, 若,是正三角形的三个顶点,则双曲线的离心率为A. B. C. D.38.公差不为零的等差数列的前项和为.若是的等比中项, ,则等于A. 18 B. 24 C. 60 D. 90第 2 页 | 共 6 页 PQMNABCDyxO( , )P x y( ,0)Q x9.如图,在四面体中,截面是正方形,则在下列命题中,错误的为. . ∥截面. . 异面直线与所成的角为10.甲、乙、丙、丁个足球队参加比赛,假设每场比赛各队取胜的概率相等,现任意将这个队分成两个组(每组两个队)进行比赛,胜者再赛,则甲、乙相遇的概率为A. B. C. D.11.如图所示,一质点在平面上沿曲线运动,速度大小不 变,其在轴上的投影点的运动速度的图象大致为 12.若存在过点的直线与曲线和都相切,则等于A.或 B.或 C.或 D.或第Ⅱ卷注意事项: 第Ⅱ卷 2 页,须用黑色墨水签字笔在答题卡上书写作答,若在试题上作答,答案无效。二.填空题:本大题共 4 小题,每小题 4 分,共 16 分。请把答案填在答题卡上第 3 页 | 共 6 页 O( )V ttO( )V ttO( )V ttO( )V tt13.已知向量,, ,若 则= .14.体积为的一个正方体,其全面积与球的表面积相等,则球的体积等于 .15.若不等式的解集为区间,且,则 .16.设直线系,对于下列四个命题:.存在一个圆与所有直线相交.存在一个圆与所有直线不相交.存在一个圆与所有直线相切.中的直线所能围成的正三角形面积都相等其中真命题的代号是 (写出所有真命题的代号).三.解答题:本大题共 6 小题,共 74 分。解答应写出文字说明,证明过程或演算步骤17.(本小题满分 12 分)设函数(1)对于任意实数,恒成立,求的最大值;(2)若方程有且仅有一个实根,求的取值范围18.(本小题满分 12 分)某公司拟资助三位大学生自主创业,现聘请两位专家,独立地对每位大学生的创业方案进行评审.“”“”假设评审结果为 支持 或 不支持 的概率都是.“”若某人获得两个 支持 ,则给予 10“”万元的创业资助;若只获得一个 支持 ,则给予 5“”万元的资助;若未获得 支持 ,则不予资助.求:(1) 该公司的资助总额为零的概率;(2)该公司的资助总额超过 15 万元的概率.19.(本小题满分 12 分)第 4 页 | 共 6 页 在△中,所对的边分别为,,.(1)求;(2)若,求,,.20.(本小题满分 12 分)如图,在四棱锥中,底面是矩形 ,平 面,,.以的中点为球心、为直径的球面交于点.(1)求证:平面⊥平面...

1、盘古文库是"C2C"交易模式,即卖家上传的文档直接由买家下载,本站只是中间服务平台,本站所有文档下载的收益归上传人(卖家)所有,作为网络服务商,若您的权利被侵害请及时联系右侧客服。

2、本站默认下载后的格式为 docx,pptx ,xlsx,pdf,zippsd等源文件。office等工具即可编辑!源码类文件除外。

3、如您看到网页展示的内容中含有'"133KU.COM"等水印,是因预览和防盗链技术需要对页面进行转换和压缩成图片所生成,文档下载后不会有该内容标识.

4、本站所有内容均由合作方上传,本站不对文档的完整性、权威性及其观点立场正确性做任何保证或承诺,文档内容仅供研究参考,付费前请自行鉴别。如您付费,意味着您自己接受本站规则且自行承担风险,本站不退款、不进行额外附加服务。

在点击下载本文档时,弹出的对话框中,选择“使用浏览器下载”不支持下载工具多线程下载!

部分浏览图可能存在变形的情况,下载后为高清文件,可直接编辑。

2009年高考数学试卷(文)(江西)(空白卷)

漫步者+ 关注
机构认证
内容提供者

该用户很懒,什么也没介绍

确认删除?
回到顶部