电脑桌面
添加盘古文库-分享文档发现价值到电脑桌面
安装后可以在桌面快捷访问

2010年高考数学试卷(文)(天津)(空白卷)

2010年高考数学试卷(文)(天津)(空白卷)_第1页
1/5
2010年高考数学试卷(文)(天津)(空白卷)_第2页
2/5
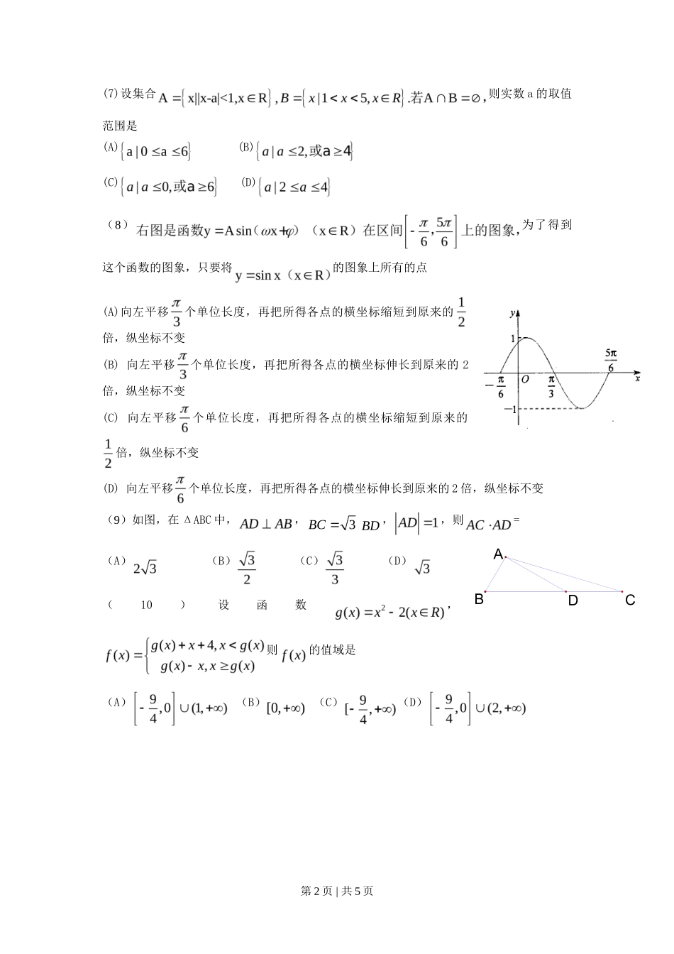
2010年高考数学试卷(文)(天津)(空白卷)_第3页
3/5
2010 年高考天津卷文科数学试题源头学子 http://www.wxckt.cn 特级教师王新敞 wxckt@126.com本试卷分第I卷(选择题)和第Ⅱ卷(非选择题)两部分,共 150 分,考试用时 120 分钟。第 I 卷 1 至 3 页。第Ⅱ卷 4 至 11 页。考试结束后,将本试卷和答题卡一并交回。祝各位考生考试顺利!第 I 卷注意事项:1.答 I 卷前,考生务必将自己的姓名、准考号填写在答题卡上,并在规定位置粘贴考试用条形码。2.每小题选出答案后,用铅笔把答题卡上对应题目的答案标号涂黑,如需改动,用橡皮擦干净后,再选涂其他答案标号,答在试卷上的无效。 3.本卷共 10 小题,每小题 5 分,共 50 分。参考公式:如果事件互斥,那么 棱柱的体积公式 V=Sh. 其中 S 表示棱柱的底面积. h 表示棱柱的高一、选择题:在每小题给出的四个选项中,只有一项是符合题目要求的。(1)i 是虚数单位,复数=(A)1+2i (B)2+4i (C)-1-2i (D)2-i(2)设变量 x,y 满足约束条件则目标函数 z=4x+2y 的最大值为(A)12 (B)10 (C)8 (D)2(3)阅读右边的程序框图,运行相应的程序,则输出 s 的值为 (A)-1 (B)0 (C)1 (D)3(4)函数 f(x)= (A)(-2,-1) (B) (-1,0) (C) (0,1) (D) (1,2)(5)下列命题中,真命题是(A)(B)(C)(D)(6)设(A)a0. (Ⅰ)若 a=1,求曲线 y=f(x)在点(2,f(2))处的切线方程;(Ⅱ)若在区间上,f(x)>0 恒成立,求 a 的取值范围.第 4 页 | 共 5 页 ABCDEF(21)(本小题满分 14 分)已知椭圆(a>b>0)的离心率 e=,连接椭圆的四个顶点得到的菱形的面积为 4.(Ⅰ)求椭圆的方程;(Ⅱ)设直线 l 与椭圆相交于不同的两点 A、B,已知点 A 的坐标为(-a,0). (i)若,求直线 l 的倾斜角; (ii)若点 Q在线段 AB 的垂直平分线上,且.求的值.(22)(本小题满分 14 分)在数列中,=0,且对任意 k,成等差数列,其公差为 2k.(Ⅰ)证明成等比数列;(Ⅱ)求数列的通项公式;(Ⅲ)记,证明.第 5 页 | 共 5 页

1、盘古文库是"C2C"交易模式,即卖家上传的文档直接由买家下载,本站只是中间服务平台,本站所有文档下载的收益归上传人(卖家)所有,作为网络服务商,若您的权利被侵害请及时联系右侧客服。

2、本站默认下载后的格式为 docx,pptx ,xlsx,pdf,zippsd等源文件。office等工具即可编辑!源码类文件除外。

3、如您看到网页展示的内容中含有'"133KU.COM"等水印,是因预览和防盗链技术需要对页面进行转换和压缩成图片所生成,文档下载后不会有该内容标识.

4、本站所有内容均由合作方上传,本站不对文档的完整性、权威性及其观点立场正确性做任何保证或承诺,文档内容仅供研究参考,付费前请自行鉴别。如您付费,意味着您自己接受本站规则且自行承担风险,本站不退款、不进行额外附加服务。

在点击下载本文档时,弹出的对话框中,选择“使用浏览器下载”不支持下载工具多线程下载!

部分浏览图可能存在变形的情况,下载后为高清文件,可直接编辑。

2010年高考数学试卷(文)(天津)(空白卷)

漫步者+ 关注
机构认证
内容提供者

该用户很懒,什么也没介绍

确认删除?
回到顶部