电脑桌面
添加盘古文库-分享文档发现价值到电脑桌面
安装后可以在桌面快捷访问

2022年高考数学试卷(上海)(秋考)(空白卷)

2022年高考数学试卷(上海)(秋考)(空白卷)_第1页
1/5
2022年高考数学试卷(上海)(秋考)(空白卷)_第2页
2/5
2022年高考数学试卷(上海)(秋考)(空白卷)_第3页
3/5
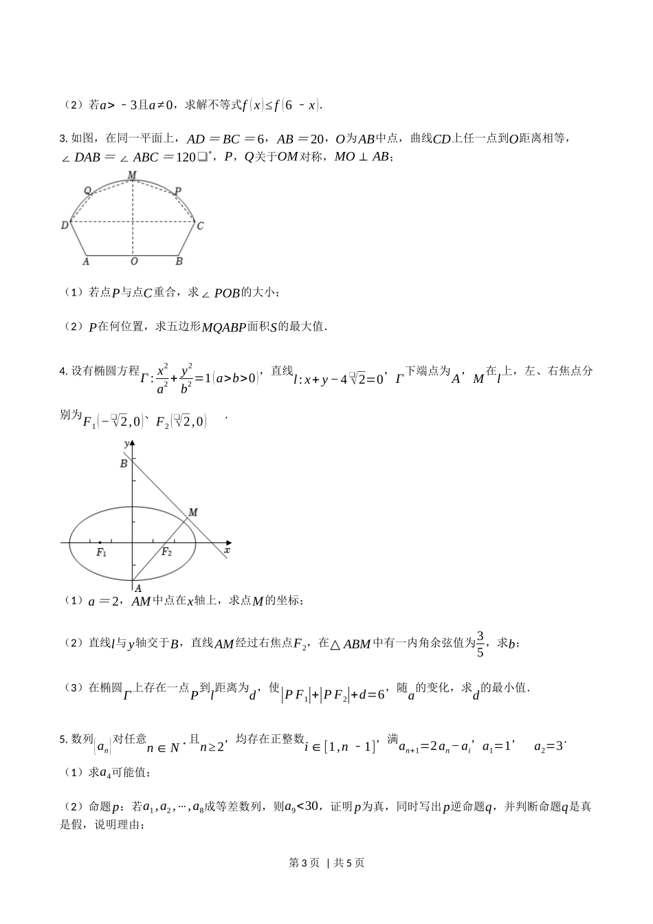
第 1 页 | 共 5 页 2022 年上海市高考数学试卷一、填空题(本大题共有 12 题,满分 54 分,第 1~6 题每题 4 分,第 7~12 题每题 5 分) 1. 双曲线 x29 − y2=1的实轴长为 . 2. 函数f (x )=cos2 x−sin2 x+1的周期为 . 3. 已知a∈ R,行列式|a132|的值与行列式|a041|的值相等,则a= . 4. 已知圆柱的高为4,底面积为9 π,则圆柱的侧面积为 . 5. x﹣ y ≤0,x+ y ﹣1≥0,求z= x+2 y的最小值 . 6. 二项式(3+x )n的展开式中,x2项的系数是常数项的5倍,则n= . 7. 若函数f (x )={a2 x−1x<0x+ax>00x=0,为奇函数,求参数a的值为 . 8. 为了检测学生的身体素质指标,从游泳类1项,球类3项,田径类4项共8项项目中随机抽取4项进行检测,则每一类都被抽到的概率为 . 9. 已知等差数列{an}的公差不为零,Sn为其前n项和,若S5=0,则Si (i=0,1,2,…,100)中不同的数值有 个. 10. 若平面向量|a→|=|b→|=|c→|=λ,且满足a→⋅b→=0,a→⋅ c→=2,b→⋅ c→=1,则λ= . 11. 设函数f (x )满足f (x )=f (11+x)对任意x∈¿都成立,其值域是Af,已知对任何满足上述条件的f (x )都有{ y∨ y=f (x ),0≤ x ≤a}=Af,则a的取值范围为 . 二、选择题(本题共有 4 题,满分 20 分,每题 5 分)每题有且只有一个正确选项. 1. 若集合A = ¿,B= Z,则A ∩B=( ) A.{﹣2,﹣1,0,1}B.{﹣1,0,1}C.{﹣1,0}D.{﹣1} 第 2 页 | 共 5 页 2. 若实数a、b满足a> b> 0,下列不等式中恒成立的是( ) A.a+b>2❑√ab B.a+b<2❑√ab C.a2 +2b>2❑√abD.a2 +2b<2❑√ab 3. 如图正方体ABCD− A1B1C1 D1中,P、Q、R、S分别为棱AB、BC 、B B1 、CD 的中点,联结A1S,B1 D.空间任意两点M、N,若线段MN上不存在点在线段A1S、 B1 D上,则称MN两点可视,则下列选项中与点D1可视的为( ) A.点PB.点BC.点RD.点Q 4. 设集合Ω={(x , y )|(x−k )2+( y −k2)2=4|k∨,k ∈Z}① 存在直线l,使得集合Ω中不存在点在l上,而存在点在l两侧;② 存在直线l,使得集合Ω中存在无数点在l上;( ) A.① 成立②成立B.① 成立②不成立C.① 不成立②成立D.① 不成立②不成立三、解答题(本大题共有 5 题,满分 76 分). 1. 如图所示三棱锥,底面为等边△ ABC,O为AC边中点,且PO⊥底面ABC,AP= AC = 2. (1)求三棱锥体积V P− ABC ; (2)若M为BC中点,求PM与面PAC所成角大小. 2. f (x )=log3 (a+x )+log3 (6− x ). (1)若将函数f (x )图像向下移m (m>0)后,图像经过(3,0),(5,0),求实数a,m的值.第 3 页 | 共 5 页 (2)若a>﹣3且a≠0,求解不等式f (x )≤ f (6﹣ x ). 3. 如图,在同一平面上,AD= BC = 6,AB= 20,O为AB中点,曲线CD上任一点到O距离相等,∠ DAB= ∠ ABC = 120❑∘,P,Q关于OM对称,MO⊥ AB; (1)若点P与点C重合,求∠ POB的大小; (2)P在何位置,求五边形MQABP面积S的最大值. 4. 设有椭圆方程Γ : x2a2 + y2b2 =1 (a>b>0),直线l: x+ y −4 ❑√2=0,Γ下端点为A,M在l上,左、右焦点分别为F1(−❑√2,0)、F2(❑√2,0) . (1)a= 2,AM中点在x轴上,求点M的坐标; (2)直线l与y轴交于B,直线AM经过右焦点F2,在△ ABM中有一内角余弦值为35,求b; (3)在椭圆Γ上存在一点P到l距离为d,使|P F1|+|P F2|+d=6,随a的变化,求d的最小值. 5. 数列{an}对任意n∈ N∗且n≥2,均存在正整数i∈[1,n﹣1],满an+1=2an−ai,a1=1, a2=3. (1)求a4可能值; (2)命题p:若a1,a2,⋯ ,a8成等差数列,则a9<30,证明p为真,同时写出p逆命题q,并判断命题q是真是假,说明理由;第 4 页 | 共 5 页 (3)若a2m=3m,(m∈ N∗)成立,求数列{an}的通项公式.第 5 页 | 共 5 页

1、盘古文库是"C2C"交易模式,即卖家上传的文档直接由买家下载,本站只是中间服务平台,本站所有文档下载的收益归上传人(卖家)所有,作为网络服务商,若您的权利被侵害请及时联系右侧客服。

2、本站默认下载后的格式为 docx,pptx ,xlsx,pdf,zippsd等源文件。office等工具即可编辑!源码类文件除外。

3、如您看到网页展示的内容中含有'"133KU.COM"等水印,是因预览和防盗链技术需要对页面进行转换和压缩成图片所生成,文档下载后不会有该内容标识.

4、本站所有内容均由合作方上传,本站不对文档的完整性、权威性及其观点立场正确性做任何保证或承诺,文档内容仅供研究参考,付费前请自行鉴别。如您付费,意味着您自己接受本站规则且自行承担风险,本站不退款、不进行额外附加服务。

在点击下载本文档时,弹出的对话框中,选择“使用浏览器下载”不支持下载工具多线程下载!

部分浏览图可能存在变形的情况,下载后为高清文件,可直接编辑。

2022年高考数学试卷(上海)(秋考)(空白卷)

漫步者+ 关注
机构认证
内容提供者

该用户很懒,什么也没介绍

确认删除?
回到顶部