电脑桌面
添加盘古文库-分享文档发现价值到电脑桌面
安装后可以在桌面快捷访问

2020年高考数学试卷(新高考Ⅱ卷)(海南)(空白卷)

2020年高考数学试卷(新高考Ⅱ卷)(海南)(空白卷)_第1页
1/7
2020年高考数学试卷(新高考Ⅱ卷)(海南)(空白卷)_第2页
2/7
2020年高考数学试卷(新高考Ⅱ卷)(海南)(空白卷)_第3页
3/7
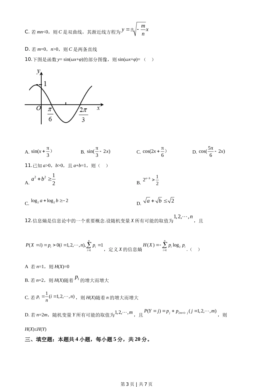
2020 年普通高等学校招生全国统一考试数学注意事项:1.答卷前,考生务必将自己的姓名、考生号等填写在答题卡和试卷指定位置上.2.回答选择题时,选出每小题答案后,用铅笔把答题卡上对应题目的答案标号涂黑.如需改动,用橡皮擦干净后,再选涂其他答案标号.回答非选择题时,将答案写在答题卡上.写在本试卷上无效.3.考试结束后,将本试卷和答题卡一并交回.一、选择题:本题共 8 小题,每小题 5 分,共 40 分.在每小题给出的四个选项中,只有一项是符合题目要求的.1.设集合 A={x|1≤x≤3},B={x|2n>0,则 C 是椭圆,其焦点在 y 轴上B. 若 m=n>0,则 C 是圆,其半径为第 2 页 | 共 7 页 C. 若 mn<0,则 C 是双曲线,其渐近线方程为D. 若 m=0,n>0,则 C 是两条直线10.下图是函数 y= sin(ωx+φ)的部分图像,则 sin(ωx+φ)= ( )A. B. C. D. 11.已知 a>0,b>0,且 a+b=1,则( )A. B. C. D. 12.信息熵是信息论中的一个重要概念.设随机变量 X 所有可能的取值为,且,定义 X 的信息熵.( )A. 若 n=1,则 H(X)=0B. 若 n=2,则 H(X)随着的增大而增大C. 若,则 H(X)随着 n 的增大而增大D. 若 n=2m,随机变量 Y 所有可能的取值为,且,则H(X)≤H(Y)三、填空题:本题共 4 小题,每小题 5 分,共 20 分。第 3 页 | 共 7 页 13.斜率为的直线过抛物线 C:y2=4x 的焦点,且与 C 交于 A,B 两点,则=________.14.将数列{2n–1}与{3n–2}的公共项从小到大排列得到数列{an},则{an}的前 n 项和为________.15.某中学开展劳动实习,学生加工制作零件,零件的截面如图所示.O 为圆孔及轮廓圆弧 AB 所在圆的圆心,A 是圆弧 AB 与直线 AG 的切点,B 是圆弧 AB 与直线 BC 的切点,四边形 DEFG 为矩形,BC⊥DG,垂足为 C,tan∠ODC=,,EF=12 cm,DE=2 cm,A 到直线 DE 和 EF 的距离均为 7 cm,圆孔半径为 1 cm,则图中阴影部分的面积为___...

1、盘古文库是"C2C"交易模式,即卖家上传的文档直接由买家下载,本站只是中间服务平台,本站所有文档下载的收益归上传人(卖家)所有,作为网络服务商,若您的权利被侵害请及时联系右侧客服。

2、本站默认下载后的格式为 docx,pptx ,xlsx,pdf,zippsd等源文件。office等工具即可编辑!源码类文件除外。

3、如您看到网页展示的内容中含有'"133KU.COM"等水印,是因预览和防盗链技术需要对页面进行转换和压缩成图片所生成,文档下载后不会有该内容标识.

4、本站所有内容均由合作方上传,本站不对文档的完整性、权威性及其观点立场正确性做任何保证或承诺,文档内容仅供研究参考,付费前请自行鉴别。如您付费,意味着您自己接受本站规则且自行承担风险,本站不退款、不进行额外附加服务。

在点击下载本文档时,弹出的对话框中,选择“使用浏览器下载”不支持下载工具多线程下载!

部分浏览图可能存在变形的情况,下载后为高清文件,可直接编辑。

2020年高考数学试卷(新高考Ⅱ卷)(海南)(空白卷)

漫步者+ 关注
机构认证
内容提供者

该用户很懒,什么也没介绍

确认删除?
回到顶部