电脑桌面
添加盘古文库-分享文档发现价值到电脑桌面
安装后可以在桌面快捷访问

2020年高考数学试卷(文)(新课标Ⅲ)(空白卷)

2020年高考数学试卷(文)(新课标Ⅲ)(空白卷)_第1页
1/6
2020年高考数学试卷(文)(新课标Ⅲ)(空白卷)_第2页
2/6
2020年高考数学试卷(文)(新课标Ⅲ)(空白卷)_第3页
3/6
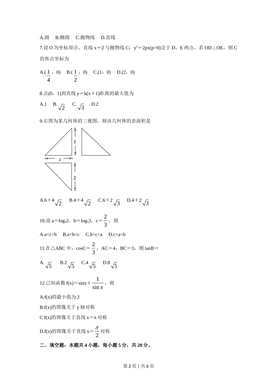
绝密★启用前2020 年普通高等学校招生全国统一考试文科数学注意事项:1.答卷前,考生务必将自己的姓名、准考证号填写在答题卡上。2.回答选择题时,选出每小题答案后,用铅笔把答题卡上对应题目的答案标号涂黑。如需改动,用橡皮擦干净后,再选涂其他答案标号。回答非选择题时,将答案写在答题卡上。写在本试卷上无效。3.考试结束后,将本试卷和答题卡一并交回。一、选择题:本题共 12 小题,每小题 5 分,共 60 分。在每小题给出的四个选项中,只有一项是符合题目要求的。1 已知集合 A={1,2,3,5,7,11},B={x|30)交于 D,E 两点,若 OD⊥OE,则 C的焦点坐标为A.(,0) B.(,0) C.(1,0) D.(2,0)8.点(0,1)到直线 y=k(x+1)距离的最大值为A.1 B. C. D.29.右图为某几何体的三视图,则该几何体的表面积是A.6+4 B.4+4 C.6+2 D.4+210.设 a=log32,b=log53,c=,则A.a

1、盘古文库是"C2C"交易模式,即卖家上传的文档直接由买家下载,本站只是中间服务平台,本站所有文档下载的收益归上传人(卖家)所有,作为网络服务商,若您的权利被侵害请及时联系右侧客服。

2、本站默认下载后的格式为 docx,pptx ,xlsx,pdf,zippsd等源文件。office等工具即可编辑!源码类文件除外。

3、如您看到网页展示的内容中含有'"133KU.COM"等水印,是因预览和防盗链技术需要对页面进行转换和压缩成图片所生成,文档下载后不会有该内容标识.

4、本站所有内容均由合作方上传,本站不对文档的完整性、权威性及其观点立场正确性做任何保证或承诺,文档内容仅供研究参考,付费前请自行鉴别。如您付费,意味着您自己接受本站规则且自行承担风险,本站不退款、不进行额外附加服务。

在点击下载本文档时,弹出的对话框中,选择“使用浏览器下载”不支持下载工具多线程下载!

部分浏览图可能存在变形的情况,下载后为高清文件,可直接编辑。

2020年高考数学试卷(文)(新课标Ⅲ)(空白卷)

漫步者+ 关注
机构认证
内容提供者

该用户很懒,什么也没介绍

确认删除?